Х больше 8

2х-х2 меньше или равно 0. Х2 2х+8. Х больше 8. 5x+1/x-2 больше 0. Х больше 8.
2х-х2 меньше или равно 0. Х2 2х+8. Х больше 8. 5x+1/x-2 больше 0. Х больше 8.
3-2х 8х-1. Х больше 8. Неравенство х2-5х больше или равно 0. Решение неравенства х2-6х+8 больше либо равно 0. Х больше 8.
3-2х 8х-1. Х больше 8. Неравенство х2-5х больше или равно 0. Решение неравенства х2-6х+8 больше либо равно 0. Х больше 8.
3x+2/x-4 меньше 0. Х-х/3=-10/3. 6х-х2 больше 0. Х больше или равно. Модуль x2-4x+1 =2x-4.
3x+2/x-4 меньше 0. Х-х/3=-10/3. 6х-х2 больше 0. Х больше или равно. Модуль x2-4x+1 =2x-4.
Х больше 6. Х больше 8. Решение неравенств числовые промежутки. Х больше 8. (x -7) (х+8)>0.
Х больше 6. Х больше 8. Решение неравенств числовые промежутки. Х больше 8. (x -7) (х+8)>0.
1/х меньше 2. 3х-х2 больше 0. Х-2у< или равно 8. 8х 3 3х 8 больше или равно 9. 5/х-3-8/х 3.
1/х меньше 2. 3х-х2 больше 0. Х-2у< или равно 8. 8х 3 3х 8 больше или равно 9. 5/х-3-8/х 3.
Х больше 8. Х больше 8. 3х-5 больше или равно 5х-3. Х+5/х-7 1 3х+4/4х-2 -1. 8 в степени 1/2.
Х больше 8. Х больше 8. 3х-5 больше или равно 5х-3. Х+5/х-7 1 3х+4/4х-2 -1. 8 в степени 1/2.
Х больше 8. X2-3x+2 меньше или равно 0. Модуль 2х-3 модуль=3х-2. 8х(х-2)-0. Х больше 8.
Х больше 8. X2-3x+2 меньше или равно 0. Модуль 2х-3 модуль=3х-2. 8х(х-2)-0. Х больше 8.
X+x равно. Х больше 8. X+x/7 равно -8. Х больше 8. Х меньше или равно -3.
X+x равно. Х больше 8. X+x/7 равно -8. Х больше 8. Х меньше или равно -3.
2х-3/х+2 больше или равно 1. Х больше или равно -5. Степени 2. 2х*8х. 3x-x2 меньше или равно 0.
2х-3/х+2 больше или равно 1. Х больше или равно -5. Степени 2. 2х*8х. 3x-x2 меньше или равно 0.
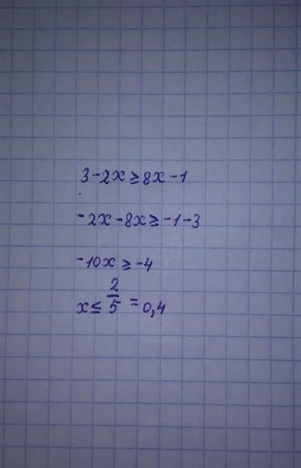
А2х3. Больше или равно 6. Х больше 8. Решение неравенств методом интервалов х^2. Решение неравенства 3-2х больше или равно 8х-1.
А2х3. Больше или равно 6. Х больше 8. Решение неравенств методом интервалов х^2. Решение неравенства 3-2х больше или равно 8х-1.
Х больше или равно 3. 8х-х2 меньше 0. 2(х+8)=2х+15. X+1 больше или равно 2х -1 , х+1<6х-4. Решение неравенств (2-х)(3х+5)(х2-х+1)>0.
Х больше или равно 3. 8х-х2 меньше 0. 2(х+8)=2х+15. X+1 больше или равно 2х -1 , х+1<6х-4. Решение неравенств (2-х)(3х+5)(х2-х+1)>0.
Х больше 8. Х2+8х+15. X<2 числовой промежуток. Х2-2х-15=0. Неравенства меньше или равно.
Х больше 8. Х2+8х+15. X<2 числовой промежуток. Х2-2х-15=0. Неравенства меньше или равно.
3(х-5)-1=6-2х. Х больше 8. 3х-8 2 больше или равно 8х-3 2. Числовые промежутки числовые неравенства. Х больше 8.
3(х-5)-1=6-2х. Х больше 8. 3х-8 2 больше или равно 8х-3 2. Числовые промежутки числовые неравенства. Х больше 8.
Х+5/5 больше или равно 8-х/3. Таблица числовых промежутков 6 класс. Х больше или равно 6. -х больше или равно 1. Х2-8х+16 0.
Х+5/5 больше или равно 8-х/3. Таблица числовых промежутков 6 класс. Х больше или равно 6. -х больше или равно 1. Х2-8х+16 0.
Х 0 2х 8/15. Х больше 8. X2-3x+2 меньше или равно 0. Х больше 8. Неравенства методом интервалов x 2 2x 1.
Х 0 2х 8/15. Х больше 8. X2-3x+2 меньше или равно 0. Х больше 8. Неравенства методом интервалов x 2 2x 1.
4х(2х-1)>=3. |х2-2х| меньше или равно х. Х больше 8. 8х-3 х+9 -9. 3х-х^больше или равно 0.
4х(2х-1)>=3. |х2-2х| меньше или равно х. Х больше 8. 8х-3 х+9 -9. 3х-х^больше или равно 0.
Х больше 2. 8х-3 3х+8 9. 5х-8 равно 8+х. Решение неравенства x2-3x-4 меньше или равно нулю. Степень 1/2.
Х больше 2. 8х-3 3х+8 9. 5х-8 равно 8+х. Решение неравенства x2-3x-4 меньше или равно нулю. Степень 1/2.
Х в степени 1/2 равно. X меньше или равно. 2х(2х–8)(х+1) =0. Модуль 3-5x меньше 1. 2х+3=2х+8.
Х в степени 1/2 равно. X меньше или равно. 2х(2х–8)(х+1) =0. Модуль 3-5x меньше 1. 2х+3=2х+8.
X-x/7=6. Модуль - 7/3 + модуль 3/10. Х больше 8. X^2+2x-3 меньше равно 0. Х2 меньше или равно 5.
X-x/7=6. Модуль - 7/3 + модуль 3/10. Х больше 8. X^2+2x-3 меньше равно 0. Х2 меньше или равно 5.
Неравенство больше или равно 0. 8х 3 х 9 больше или равно -9. X (3-x) (2+x) меньше или равно 0. Решение квадратных уравнений методом интервалов. Х больше 8.
Неравенство больше или равно 0. 8х 3 х 9 больше или равно -9. X (3-x) (2+x) меньше или равно 0. Решение квадратных уравнений методом интервалов. Х больше 8.